Blog
Faktor Kebangkitan Nasionalisme Di Tanah Melayu
lembaran kerja bina ayat berdasarkan gambar tahun 1
lembaga hasil dalam negeri jalan duta
latihan tukar nombor bercampur kepada pecahan tak wajar
leather duck lanyard
lembaran kerja bahasa arab tahun 4 2020
lazada black friday 2020 voucher
latihan ungkapan algebra tingkatan 1 kssm
lembaran kerja latihan pendidikan jasmani tahun 1
Faktor Gerakan Nasionalisme Di Tanah Melayu
Faktor Kebangkitan Nasionalisme
Sejarah Tingkatan 5 Bab 2 Nasionalisme Di Malaysia Sehingga Perang Du
Slaid Ipro T4 Bab 2 Kebangkitan Nasionalisme Pages 1 36 Text Version Anyflip
Bab 1 Kemunculan Dan Perkembangan Nasionalisme Di
Kebangkitan Nasionalisme Di Tanah Melayu
Faktor Kebangkitan Nasionalisme Di Tanah Melayu
Nota Lengkap Kemunculan Dan Perkembangan Nasionalisme Di Asia Tenggara Spm Bab 1 Pendidikanmalaysia Com
Faktor Gerakan Nasionalisme Di Tanah Melayu
T4b2 By Mohd Hanapi
Blog Sejarah Stpm Cikgu Mohammadia 3 1 Gerakan Nasionalisme
Kebangkitan Nasionalisme Print
Http Studentsrepo Um Edu My 121 5 Bab2 Pdf
Nasionalisme Melayu Awal Wikipedia Bahasa Melayu Ensiklopedia Bebas
Nota Sejarah Tingkatan 5
B Teks Sejarah T4 Kssm Bab 2 Pages 1 30 Text Version Anyflip
Pdf Nasionalisme Indonesia Awal Abad Ke 20 Chew Yee Herng Carlson Academia Edu
Sejarah Tingkatan 5 Bab 2
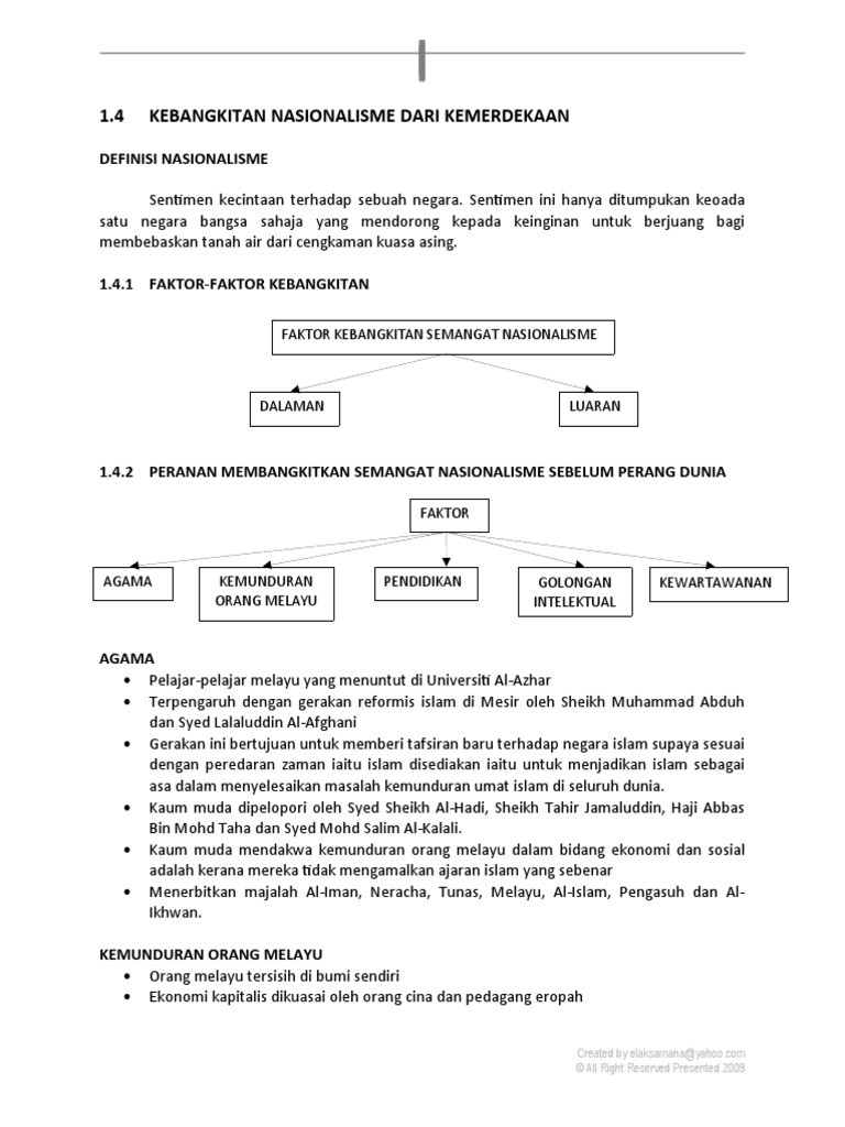
1 4 Kebangkitan Nasionalisme Dari Kemerdekaan
1 8 Nota Ringkas Faktor Kemunculan Semangat Nasionalisme Di Asia
Source :
pinterest.com
Random Posts
Santiago The Old Man And The Sea Movie
Rph Matematik Tahun 2 Masa Dan Waktu
Sains Tingkatan 4 Bab 5笔记2020
Sample Mean For Grouped Data Calculator
Satin Finish Foundation Sendayu Tinggi Review
Rumi Doa Harian Selepas Solat
Rukun Iman Dan Rukun Islam Dalam Tulisan Jawi
Saidina Umar Al Khattab Dilantik Menjadi Khalifah Melalui
Saiz Relatif Bumi Bulan Dan Matahari
Roblox Lumber Tycoon 2 Blue Wood Maze Map 2020
Science Form 1 Chapter 2 Exercise With Answers Pdf
Sains Tingkatan 2 Bab 8 Daya Dan Geseran
Sample Of Application Letter For Job Vacancy In Government
Scale Of The Universe Video Youtube
Sains Tingkatan 4 Bab 11 2
Sains Tingkatan 2 Bab 4 Kesihatan Manusia Slideshare
Scale Of The Universe Webquest Answer Key
Sains Tingkatan 2 Bab 8 Daya Dan Gerakan
Roblox Lumber Tycoon 2 Axe Dupe Script
Rukun Dan Perkara Wajib Haji Dan Umrah