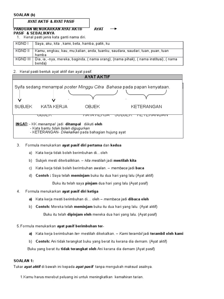
Formula Contoh Formula Ayat Aktif Dan Ayat Pasif





Cikgugoh Ayat Aktif Ayat Pasif

Cikgugoh Ayat Aktif Ayat Pasif

Cikgugoh Ayat Aktif Ayat Pasif

Cikgugoh Ayat Aktif Ayat Pasif

Ayat Pasif Dan Aktif

Ayat Pasif Dan Aktif

Ayat Aktif Dan Ayat Pasif Pt3

Ayat Aktif Dan Ayat Pasif Pt3

Laman Blog Cikgu Tan Cl Cara Menukarkan Ayat Aktif Kepada Ayat Pasif Image Cara Google Images

Laman Blog Cikgu Tan Cl Cara Menukarkan Ayat Aktif Kepada Ayat Pasif Image Cara Google Images

Kelas Bahasa Melayu Tahun 7 11 Cara Menukarkan Ayat Aktif Dan Ayat Pasif

Kelas Bahasa Melayu Tahun 7 11 Cara Menukarkan Ayat Aktif Dan Ayat Pasif

Kelas Bahasa Melayu Tahun 7 11 Cara Menukarkan Ayat Aktif Dan Ayat Pasif

Laman Blog Cikgu Tan Cl Cara Menukarkan Ayat Aktif Kepada Ayat Pasif

Laman Blog Cikgu Tan Cl Cara Menukarkan Ayat Aktif Kepada Ayat Pasif

Bahasa Melayu Ayat Aktif Dan Ayat Pasif Lessons Blendspace

Bahasa Melayu Ayat Aktif Dan Ayat Pasif Lessons Blendspace

Ayat Aktif Kepada Ayat Pasif Sebaliknya

Ayat Aktif Kepada Ayat Pasif Sebaliknya

Ayat Pasif Dan Aktif

Ayat Pasif Dan Aktif

Bahasa Malaysia Tahun 5 Ayat Aktif Dan Ayat Pasif

Bahasa Malaysia Tahun 5 Ayat Aktif Dan Ayat Pasif

Ayat Pasif Dan Aktif

Ayat Pasif Dan Aktif

Ayat Aktif Kepada Ayat Pasif

Ayat Aktif Kepada Ayat Pasif

Cara Menukar Ayat Aktif Kepada Ayat Pasif Youtube

Cara Menukar Ayat Aktif Kepada Ayat Pasif Youtube

Ayat Pasif Dan Aktif

Ayat Pasif Dan Aktif

Ayat Aktif Ayat Pasif

Ayat Aktif Ayat Pasif

Ayat Aktif Ke Ayat Pasif

Ayat Aktif Ke Ayat Pasif

Ayat Pasif Dan Aktif

Ayat Pasif Dan Aktif

Formula Ayat Aktif Dan Ayat Pasif

Formula Ayat Aktif Dan Ayat Pasif

Ayat Aktif Pasif

Ayat Aktif Pasif

Source : pinterest.com