Blog
Kesan Penyalahgunaan Dadah Dan Alkohol Terhadap Koordinasi Badan
median formula for ungrouped data with frequency
mean median mode for grouped data examples
memberhentikan pekerja contoh surat penamatan perkhidmatan oleh majikan
modern resume templates free download for microsoft word
motif batik ragam hias flora dan fauna
mengapakah kod undang undang hammurabi penting kepada masyarakat mesopotamia
motion along a straight line add maths notes
mechanical properties of materials definition pdf
Kesan Penyalahgunaan Dadah Terhadap Kesihatan
Kesan Penyalahgunaan Dadah
Lesson 2 8
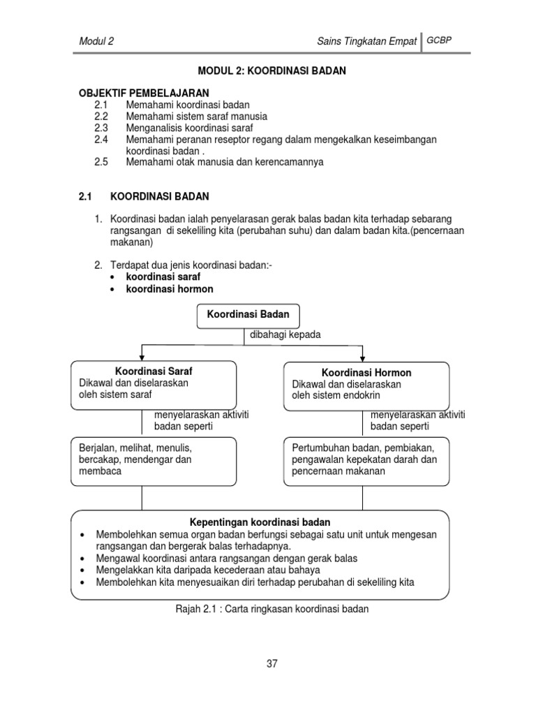
Bab 2 Koordinasi Badan Sains Tingkatan4
Kesan Penyalahgunaan Dadah
Kesan Penyalahgunaan Dadah Terhadap Kesihatan
Kesan Penyalahgunaan Dadah Dan Alkohol Terhadap Koordinasi Badan
Kesan Penyalahgunaan Dadah Terhadap Kesihatan
7 2 7 3 Sains Kssm T4 Koordinasi Badan
Bab 2 Koordinasi Badan
7 2 2 Menaakul Mengenai Kesan Penyalahgunaan Dadah Dan Alkohol Ke Atas Koordinasi Badan Dan Kesihatan Mental Pages 1 22 Text Version Anyflip
Lesson 2 8
Kesan Pengambilan Alkohol Secara Berlebihan
Kesan Penyalahgunaan Dadah Terhadap Kesihatan
2 Koordinasi Badan
B A R B I E D I A R Y Kesan Penyalahgunaan Dadah Terhadap Koordinasi Badan Dan Kesihatan
My Share Learning Content 2 8 Kesan Penyalahgunaan Dadah Terhadap Koordinasi Badan Dan Kesihatan
Sains Dadah
Kesan Pengambilan Alkohol Secara Berlebihan
7 2 2 Menaakul Mengenai Kesan Penyalahgunaan Dadah Dan Alkohol Ke Atas Koordinasi Badan Dan Kesihatan Mental
Source :
pinterest.com
Random Posts
Pohon Kurma Animasi Png
Present Perfect And Past Simple Exercises Online
Pos Laju Brickfields Contact No
Preschool Life Cycle Of A Butterfly Craft
Poster Keselamatan Kerja Di Dapur
Pra Sekolah Lembaran Kerja Prasekolah Bahasa Melayu
Plaster Siling Rumah Simple
Pied Piper Of Hamelin Moral Lesson
Poster Keselamatan Di Jalan Raya Mudah Digambar
Poem My Hero Form 2 Questions And Answers
Premiere Stranger Things Season 1 Cast
Pied Piper Of Hamelin Poem Analysis
Positive And Negative Space Art Projects
Pola Nombor Genap Dan Ganjil Tahun 5
Poster Edukatif Nama Nama Warna Dalam Bahasa Arab
Png Image Pohon Kurma Png
Plot Cerita Arnab Dan Kura Kura
Prasekolah Suku Kata Bahasa Melayu Tahun 1
Ppki Latihan Pengurusan Diri Pendidikan Khas
Plush Funneh And The Krew Merch