Blog
Soalan Psv Kertas 2 Tingkatan 3 Kssm
2年级数学题目
2 sumber tenaga utama di malaysia
2d and 3d shapes worksheets for grade 2
7 deadly sins season 3 episode 13
1st grade parts of a plant for kids
2nd grade simple and compound sentences
3 jenis kegiatan ekonomi di malaysia
2 perkara sunat ab ad dalam solat
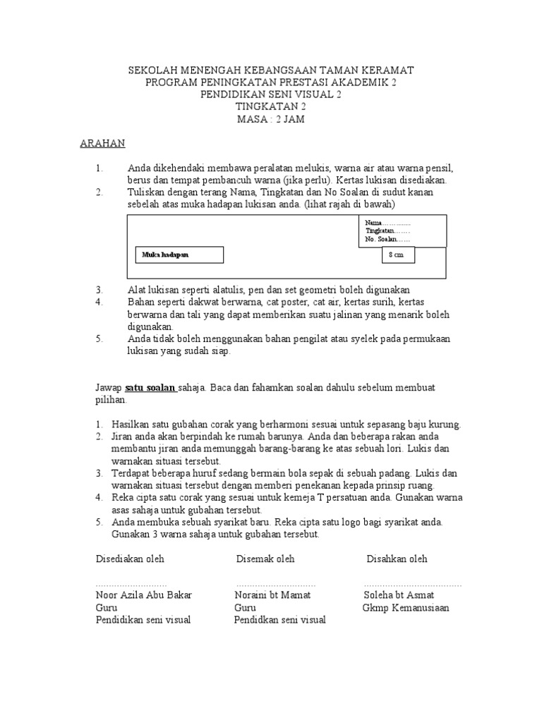
Soalan Psv Kertas 2 Tingkatan 2 Kssm Google Search Stage Design Person
Soalan Psv Kertas 2
Soalan Psv Tingkatan 1
Soalan Psv Kertas 2 Tingkatan 2 Kssm Google Search Stage Design Google Search
Pendidikan Seni Visual Tingkatan 1
Soalan Pendidikan Seni Visual Spm 2019 Kertas 2 Selangor B
Soalan Psv Kertas 2
Psv Kertas 2 Ting 3
Pendidikan Seni Visual Peperiksaan Akhir Tahun Ting 2
Soalan Pendidikan Seni Visual Tingkatan 2 Kssm
Soalan Dan Jawapan Pendidikan Seni Visual Spm Selangor S
Download Peperiksaan Awal Tahun Pendidikan Seni Visual Tingkatan 5 Yang Terhebat Khas Untuk Ibubapa Cetakkan Pendidikan Abad Ke 21
Soalan Seni Spm 2019 Kertas 2 Kuora A
Ujian Psv Kertas 2 Tingkatan 4 Docx
Soalan Spm 2019 Pendidikan Seni Visual Viral Blog U
Soalan Peperiksaan Akhir Tahun 3 2019 Pendidikan Islam Resepi Ayam B
Soalan Psv Kssm Ting 1 1 Docx
Pendidikan Seni Visual Upt Psv Tingkatan 3
Soalan Psv Tingkatan 3
Upt Pendidikan Seni Visual Tingkatan 3 Sumber Pendidikan
Source :
pinterest.com
Random Posts
Lesen Contoh Nombor Pendaftaran Perniagaan Milikan Tunggal
Lembaran Kerja Perkara Yang Membatalkan Solat Tahun 3
Life Cycle Of A Star Worksheet With Answers
Life Cycle Of A Butterfly Activities For Kindergarten
Lembaran Kerja Pendidikan Kesihatan Tahun 2 Penyalahgunaan Bahan
Lembaran Kerja Sains Tahun 5 Proses Hidup Haiwan
Life Cycle Of A Butterfly Activity For Preschoolers
Life Cycle Of Butterfly For Kids Worksheet
Life Cycle Of A Butterfly Grade 4 Lesson Plan
Lembaran Kerja Pendidikan Islam Tahun 2 Kssr
Life Cycle Of Butterfly Drawing Images
Lembaran Kerja Pendidikan Kesenian Muzik Tahun 2
Lembaran Kerja Pendidikan Kesihatan Tahun 1 2020
Life Cycle Of A Chicken Foldable Craft
Lembaran Kerja Pendidikan Moral Tahun 3 Latihan
Life Cycle Of A Butterfly Paper Plate Activity
Letak Geografis Negara Negara Asean
Lembaran Kerja Soalan Bahasa Melayu Pendidikan Khas
Lembaran Kerja Pendidikan Jasmani Tahun 1 2020
Lembaran Kerja Latihan Sains Tahun 2 Mengikut Topik