Blog
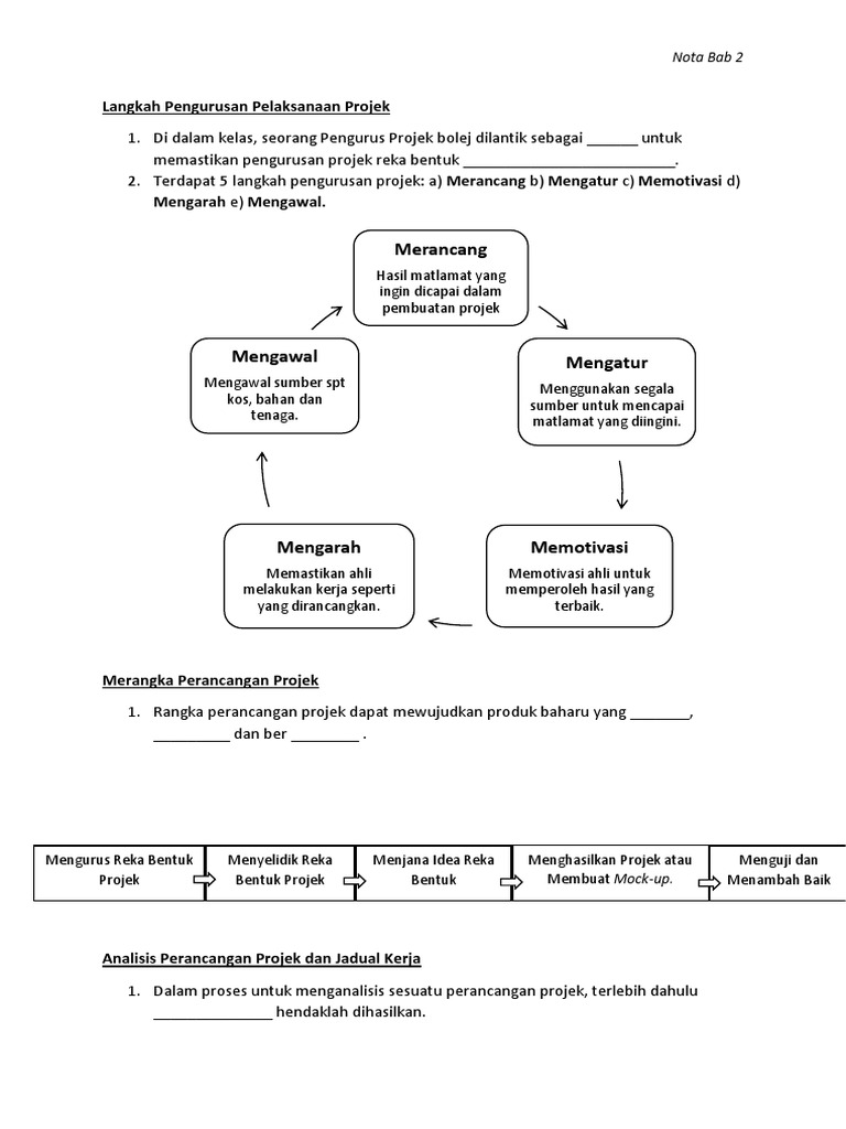
Langkah Pengurusan Perlaksanaan Projek Reka Bentuk
faktor yang mencetuskan perang dunia kedua di eropah
faktor berlakunya perang dunia kedua di asia
faktor penentangan tok janggut terhadap british di kelantan
faktor fizikal mempengaruhi taburan penduduk di malaysia
faktor kegemilangan kesultanan johor riau tingkatan 2
faktor pengakhiran kesultanan melayu melaka yang berpusat di melaka
faktor kebangkitan nasionalisme di tanah melayu
fasa terakhir dalam pembangunan atur cara
Cikguali Pdpc Obline Rbt Ting1 Bab2 2 1 3 Langkah Pengurusan Pelaksanaan Projek Youtube
Rbt T1 Bab 2 Pengurusan Projek
Reka Bentuk Teknologi Bab 2 Pengurusan Projek
Langkah Pengurusan Pelaksanaan Projek Docx
Reka Bentuk Teknologi Bab 2 Pengurusan Projek
Bab 2 Pengurusan Projek Pages 1 17 Text Version Anyflip
Rbt T1 Bab 2 Pengurusan Projek
Rbt T1 Bab 2 Pengurusan Projek
Langkah Pengurusan Pelaksanaan Projek Docx
Rbt T1 Bab 2 Pengurusan Projek
Bab 2 Pengurusan Projek Pages 1 17 Text Version Anyflip
Pengurusan Projek
Rbt T1 Bab 2 Pengurusan Projek
Goingee Panduan Ringkas Pelaksanaan Projek Penjimatan Tenaga Dengan Konsep Kontrak Prestasi Tenaga
Rbt T1 Bab 2 Pengurusan Projek By Azlyzamohdazman Issuu
Bab 2 Pengurusan Projek
Reka Bentuk Teknologi Bab 2 Pengurusan Projek
Rbt Ting 1 Bab 2 Pengurusan Projek Part 1 Youtube
Langkah Pengurusan Projek Rbt Tingkatan 1
Rbt T1 Bab 2 Pengurusan Projek Design Quiz Quizizz
Source :
pinterest.com
Random Posts
Lion And The Mouse Story Images
Logo Salon Kecantikan Png
Love You Can Count On Me Quotes
Lokasi Bandar Bandar Terancang Dalam Tamadun Indus
Lukis Corak Inai Kaki Simple
Lukisan Gambar Kampung Halaman
Lukisan Gambar Ikan Dalam Laut
Lion And The Mouse Story Clipart
Lirik Lagu Tahan Rindu Bila Jauh Sayang Dan Artinya
Lion And The Mouse Short Story For Kindergarten
Lion King Hakuna Matata Scene Script
Loaded Go Bowl Kfc Price
Linear Function Y Mx B Examples
Lokasi Kawasan Tanah Pamah Di Malaysia
Lukisan Cara Melukis Bunga Raya
Lukisan Alat Dan Bahan Kasut Kanvas
Logo Kolej Teknikal Yayasan Sabah
Local Brand T Shirt Design
List Of Irrational Numbers 1 100
Lokasi Pengisytiharan Kemerdekaan Tanah Melayu Pada 31 Ogos 1957